AKG延长寿命?如何补充AKG?
- - 阅 10AKG,算是我们的“老朋友”了。
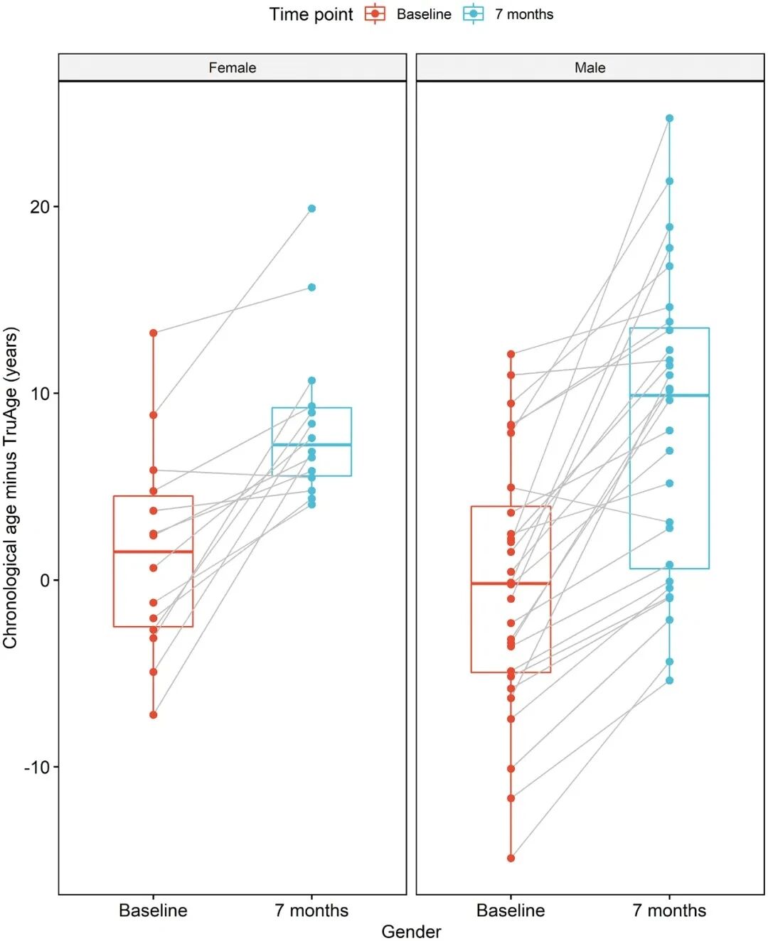
它曾经因卓越的抗衰效果,7个月年轻8岁①,轰动一时。

最近,我看到一项新的研究,发现AKG除了在健康寿命、代谢调节方面的巨大潜力外,甚至还能改善老年痴呆!
从“抗衰老明星”到“神经保护潜力股”,今天,就让我们重新认识一下AKG这位老朋友。
新突破:AKG的神经保护作用
作为最常见的神经退行性疾病之一,阿尔兹海默病(也就是俗称的老年痴呆)近多年来可以说是备受瞩目。
最近,发表在《Aging Cell》的一篇研究,为改善神经突触功能、提高大脑“可塑性”,提供了一个新的思路。②

研究人员使用了APP/PS1 mice 小鼠,这是一种实验中常见的阿尔兹海默症的模型,带有 APP 和 PS1 两个基因变异,会表现出类似阿尔兹海默病的部分病理和突触功能障碍。
然后,给这些小鼠使用AKG或其衍生物 Ca-AKG,一段时间后,对小鼠的大脑进行生理监测,观察它们的神经突触、大脑功能的变化。
结果也算是“不负众望”:
→ 突触功能缺陷被修复
AKG / Ca-AKG 处理后,APP/PS1 小鼠海马 CA1 区的 LTP 明显好转。
通俗说,就是阿尔兹海默症小鼠脑中受到损伤的突触功能,被部分恢复了,重新变得有弹性了。

图源:pixabay
→ 记忆、联想功能提升
AKG 还促进了突触标签捕获机制,这是一种更高级的突触机制模型,和记忆形成中“标记 + 捕获”的机制有关。
这暗示它可能帮助强化记忆形成,而不仅仅是短暂的连接增强。
→ 自噬被激活
AKG 处理后,LC3-II 蛋白水平上升(这是自噬活跃的标志),提示 AKG 启动了自噬过程。

图源:soogif
提升自噬后,可以减少Aβ 沉积和降低 Tau 缠结,减轻阿尔茨海默病模型中的蛋白负担。
→ 雌性改善效果更好
研究结果,还有一个比较有意思的点,那就是雌性小鼠在使用AKG后,大脑的突触恢复效果明显更好(约比雄性高 10-20%)。
好了,总结一下,“阿尔兹海默症”小鼠受损的大脑,被AKG修复、重置、加强了,为阿尔茨海默病的治疗提供一种有前景的替代方案。
AKG延长健康寿命
AKG在抗衰领域的作用,已经有很多研究支持了。
→ 延长寿命
一开头提到的新加坡国立大学教授Dr Brain Kennedy的研究,表明AKG可以延长寿命。①
研究对象在服用了大概7个月含α-酮戊二酸和维生素的复合配方Rejuvant®后,平均生理年龄减少了约8年。

而且对实际年龄较大或生理年龄比实际年龄更老的人效果更明显。
→ 激活 AMPK
一项发表在 Aging 杂志的研究里,给果蝇饮食中加入 5 µM AKG 后,它们寿命延长约8%。③

原理就是AKG 降低了 ATP/ADP 比例,激活 AMPK 信号,同时抑制 mTOR 通路,还提高了自噬 (autophagy) 水平。
AMPK能提高能量利用效率,更不容易疲劳,还能减少脂肪囤积,增加胰岛素敏感性。
而自噬能清除老化的蛋白和细胞废物,让免疫系统的 T 细胞、B 细胞更健壮,同时皮肤表层代谢废物更少、细胞更新更顺畅。
这是热量限制、人类寿命延长研究里最核心的长寿通路。
→ 减少氧化应激
AKG能够抑制mTOR,减少因为mTOR带来的炎症、细胞加速老化和氧化应激。
一项研究就表明,AKG 能显著减轻 ROS(活性氧)、恢复线粒体膜电位 (通过 JC-1 染色),并提升抗氧化酶 (如 SOD) 水平。④

氧化应激是衰老、神经退行和多种慢性病的重要原因。AKG 的这种作用使它成为一个潜在的 “代谢-抗氧化,双功能”干预剂。
→ 维持肌肉功能
随着年龄增长,肌肉量和力量下降是很常见的问题。
在 D-半乳糖诱导的肌肉老化 (肌少症) 小鼠模型中,AKG 给药显著提高了肌肉质量、力量,并改善功能。⑤

→ 促进胶原蛋白生成
AKG还参与了胶原蛋白的生成,可减少纤维化,在维持健康、年轻的皮肤中发挥着至关重要的作用。⑥

图源:pixabay
这些功能组合起来看,AKG不只是增长了寿命,对大脑、代谢、肌肉、皮肤都有益处,所以说是AKG可能让你“活得久”,更“活得有质量”。
如何补充AKG
既然 AKG 对健康和认知都有潜力,那我们要怎么补比较合理?
→从食物中获取
虽然身体会用某些氨基酸、营养素在三羧酸循环(TCA 循环)中自己制造 AKG,但是不稳定,累积的量往往也不够,随着年龄增长还会下降。
可惜的是,肉类、鱼类、蛋类、蔬菜、水果里都几乎没有天然 AKG,多吃些蛋白质和富含谷氨酸的食物,可能间接地促进身体生成AKG。
→ 热量限制
AKG本身也存在于体内的一种化学物质,控糖低碳的饮食,热量限制可能极大刺激AKG。
有研究发现,饥饿的酵母和细菌、饥饿鸽子、以及体育锻炼后的人体内的 AKG 会增加。
这些发现表明了AKG 是可以通过饥饿/饮食限制调节寿命延长的关键代谢物。⑦

图源 ncbi.nlm.nih.gov/pmc/articles/PMC4703346/
α-KG 介导的寿命模型
→ 从补剂中获取
因为食物中几乎不含有直接的AKG,所以所有的研究基本用的都是AKG补剂。
α-酮戊二酸被认为是安全且耐受性良好的补充剂,调查 α-酮戊二酸效果的研究里,报告指出,使用三年后几乎没有不良症状。
作为一种由非必需氨基酸制成的化合物,α-酮戊二酸不容易过量服用,因为体内会将任何多余的物质,通过尿液排出、或分解成基本氨基酸结构单元用于其他目的。
不过尚未确定 α-酮戊二酸在孕妇、哺乳期母亲和儿童中的安全性。
这里还包括患有罕见代谢疾病的儿童,如 α-酮戊二酸脱氢酶缺乏症,其中 α-酮戊二酸水平异常升高问题。
关键的瘦龙说
记得最早我介绍AKG的时候,还形容它,知道的人很少很少。
但是现在,各种相关的权威研究,出来很多了。
我个人吃AKG,很多年了,感觉状态非常好,今天介绍的关于对阿尔兹海默症,神经老化的作用,更坚定了我要继续吃下去。
之前采访过新加坡国立大学的教授akg之父,里面谈到很多关于akg的重要内容,适合什么人,吃多少剂量。
以前放好好几次,今天再放一下,感兴趣的小伙伴可以再看一下。
我们做过一个akg都全面科普课程,如果你需要,可以和我们建立链接。↓↓↓

⭐关注【瘦龙健康】,觉得有用的话,可以点个在看。
====进群、领取食谱,联系瘦龙=====上百款瘦龙优选的高性价比健康补剂和低碳美食产品任你挑选哦,大家一定要关注哦

长按图片扫码关注哦
瘦龙每天都在公众号(瘦龙健康)这里发布文章,大家一定要关注哦。关注公众号后,请回复食谱二字,获取食谱。
如果你想进群,可以扫描下面的码哦

原文地址:http://www.chinalowcarb.com/akg-improves-alzheimer/关注微信公众号:『瘦龙健康』,及时获取最新低碳生酮相关的文章,公众号回复减肥,糖尿病,获取相关科普文章推荐。 
