磷虾油是什么?磷虾油的好处有哪些?
- - 阅 1,519最近一项发表在Obesity上的研究让人眼前一亮。①

研究人员让41名(25名女性和16名男性)参与者做隔日断食减脂时,每天服用4克磷虾油。
连续8周,磷虾油组体重下降,肌肉量和握力下降更少;起身-坐下速度(功能性体力)保持得更好;收缩压下降幅度更大(心血管风险因子改善)。
也就是说两个人都在节食减脂,A吃磷虾油,B没吃。结果A瘦得更结实,走路更稳,血压也更好。
接下来就来看看这款被NASA都关注的营养油,到底有多神奇。
磷虾油是什么?
磷虾油提取自南极磷虾,是一种含磷脂的Omega-3营养复合油。

它不只带有含Omega-3(EPA、DHA)的油,还有磷脂(帮助脂肪酸更好地融入细胞膜,吸收更快)、胆碱(神经传导、记忆形成的关键营养)、虾青素(天然抗氧化剂,稳定油脂、抗衰老),所以颜色偏红。
磷虾油就像一种强化版营养剂,既补脂肪酸,又带脑力燃料,还自带抗氧剂防腐。
磷虾油的6大好处
→护心:降低甘油三酯、改善血管弹性与内皮功能
有一项研究汇总了两项随机、双盲安慰剂对照试验,要求520名受试者的空腹甘油三酯水平必须是500至1500mg/dL。②
让他们随机接受4克/天的天然磷虾油,为期26周。

26周之间空腹甘油三酯(TG)水平的百分比变化(n=520)
结果显示,磷虾油治疗组甘油三酯降低了26%,安慰剂组为15.1%,在26周后持续到33.5%,安慰剂组为20.8%。
另一项交叉研究纳入了47名2型糖尿病患者,评估了内皮功能、血脂、葡萄糖、糖化血红蛋白、血清抗氧化水平、C肽和胰岛素抵抗稳态模型评估(HOMA-IR)评分。③

参与者被随机分配到磷虾油或橄榄油补充剂中,为期4周。结果显示,与橄榄油相比,接受磷虾油的内皮功能有所改善,血液C肽水平和HOMA评分有所降低。
→护脑:磷脂+胆碱的黄金搭档
大脑中约60%为磷脂,磷脂型DHA可以更有效穿越血脑屏障,含胆碱的磷脂(磷脂酰胆碱)也有助于神经信号与记忆形成。
一项采用随机、双盲、平行组比较研究,中链甘油三酯作为安慰剂,45名年龄在61-72岁之间的健康老年男性每日2g磷虾油进行12周。④

结果显示,大脑血流(OxyHb浓度)和认知反应显著提高。
还有一项研究,研究人员利用秀丽隐杆线虫和人类细胞来研究磷虾油是否促进健康衰老。⑤

结果发现,磷虾油重组了不同的基因表达程序,能减弱几种衰老特征。
从机制上说,磷虾油通过时间转录组重组,通过SNK-1等健康期调节转录因子促进抗氧化应激和抗炎症,增加神经元的弹性。
还可以调节PBO-2和RIM-1的突触传递和神经元功能,减少α-突触核蛋白聚集,促进多巴胺能神经元的存活。
简单讲,磷虾油像给脑细胞换上新膜,再加点胆碱燃料,让记忆和思维更灵活。
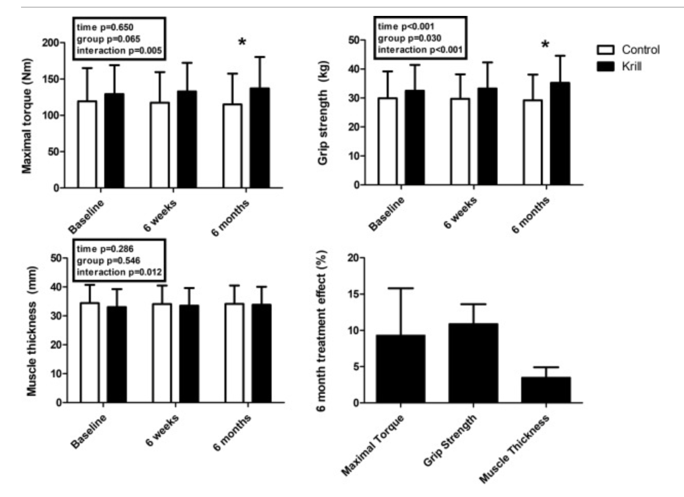
→护肌:减脂期不掉肌肉
发表在Clinical Nutrition的研究,研究人员测试了94名年龄在65岁以上、BMI 低于 35kg/m2 的男性和女性,每周参加锻炼时间少于 1 小时。⑥
该团队将参与者分配到对照或磷虾油补充剂(4克/天),为期 6个月。

6周和6个月时膝伸肌最大扭矩、握力和股外侧肌厚度以及相应的6个月治疗效果
结果发现,补充磷虾油6个月可增加膝伸肌最大扭矩、握力和股外侧肌厚度,治疗效果分别为9.3%、10.9%和3.5%。
在磷虾组中,体内的EPA水平增加了 214%,DHA增加了36%,omega-3 指数增加了 61%。
结论是,补充磷虾油6个月可以显着增加健康老年人的肌肉功能和体型。
→护关节:疼痛减轻,走路更轻松
有一项研究让235名膝骨关节炎患者服用4g/天磷虾油6个月,膝痛减少14.5%,高炎症组改善达56%。⑦

(A)6个月时磷虾油组的WOMAC膝关节疼痛评分,相对于基线下降幅度较安慰剂组更大;(B)6个月时高炎症组的治疗效果比轻中炎症组更明显
结果显示,每天食用4克的深海磷虾油补充剂是安全的,与安慰剂相比,可使成年人轻度至中度膝关节OA的膝关节疼痛、僵硬和生理功能得到适度改善。
→护肤:皮肤喝饱水、弹回来
两项随机、双盲、安慰剂对照的研究发现了补充磷虾油对皮肤屏障功能的积极影响。⑧
在研究1中,51名参与者每天食用1克磷虾油或安慰剂。在研究2中,50名参与者每天食用2克磷虾油或安慰剂。
结果显示,每天口服补充1克和2克磷虾油显示皮肤TEWL、水合作用和弹性有显着且剂量依赖性的改善,这与omega-3指数的变化相关。

图源:giphy
有动物研究让曝晒在紫外线的小鼠口服磷虾油,研究显示磷虾油可以逆转调控玻尿酸基因表现,增加皮肤的保湿作用,皮肤胶原蛋白含量显著增加,能明显抑制皮肤皱纹,皱纹的长度和深度都降低。⑨

结论是,磷虾油作为膳食补充剂服用时,可减少UVB引发的皮肤光老化,解决皱纹和保湿等各种皮肤问题。
还有小鼠研究发现,磷虾油阻断了TNF-α诱导的巨噬细胞炎症、成纤维细胞功能障碍和内皮血管生成损伤。局部应用磷虾油可能是治疗糖尿病伤口的可行方法。⑩
→护眼:润眼、护视网膜
在一项为期 90 天、双盲、随机、安慰剂对照的临床试验中,对 60 名干眼患者分别给予磷虾油、鱼油或橄榄油(安慰剂)补充。⑪

研究结果显示:
磷虾油组在第 90 天的泪膜破裂时间(TBUT)明显延长,泪液渗透压下降。
磷虾油显著降低促炎细胞因子 IL‑17A(平均下降约 27 pg/mL);眼部红斑、干涩感、眼表疾病指数(OSDI)都有很大改善,鱼油虽也有一些效果,但在第 90 天的 OSDI 改善只有磷虾油组达到显著水平。
鱼油vs磷虾油
磷虾油常常被拿出来和鱼油做对比,二者到底有什么区别:
→EPA / DHA 含量
在EPA / DHA的含量上,鱼油的含量高(约30-60%),磷虾油会低一些(约15-25%)。
→ 生物利用度对比
在生物利用度,也就是吸收率上,磷虾油优于鱼油。⑫
在15名受试者中进行了一项随机试验,发现磷虾油中的 EPA 和 DHA 比磷虾粉和鱼油中的 EPA 和 DHA 具有更高的 72 小时生物利用度。
磷虾粉和鱼油中 EPA 和 DHA 的生物利用度没有差异。⑬

不过一些人需要注意:对海鲜、甲壳类过敏;服用抗凝或者抗血小板药物(阿司匹林、华法林等),补磷虾油前务必先跟医生说,有可能增加出血风险。
→ 1+1>2
不过,鱼油和磷虾油,并不是二选一,而是可以协同发挥更好的作用。
鱼油提供高含量的EPA/DHA,磷虾油帮助提高吸收和细胞膜整合,虾青素减少鱼油氧化。
而且鱼油在价格上,比磷虾油略有优势,协同补充,在性价比上更高。
总之,磷虾油作为近多年新受到关注的营养补充,可以和“老员工”鱼油搭配,补充ω-3,保护我们的心血管。
关键的瘦龙说
磷虾油是Omega-3的一种优质选择,能补EPA/DHA,还多了磷脂、胆碱、虾青素等辅助成分。
鱼油就像“仓库里的大桶原料”,量足,实惠。磷虾油则像“高效速溶精华”,吸收快、抗氧化强。
如果预算允许,协同补充往往比单独一种更均衡。
如果你想补,可以从小剂量开始,慢慢适应。如果没有不舒服,就可以逐步调到目标剂量。
补充剂是锦上添花,不是替代饮食或者替代运动,一定要吃好、睡好、运动好,补剂才有加分效果。
磷虾油点击上方图片跳转选购
====进群、领取食谱,联系瘦龙=====
上百款瘦龙优选的高性价比健康补剂和低碳美食产品任你挑选哦,大家一定要关注哦

长按图片扫码关注哦
瘦龙每天都在公众号(瘦龙健康)这里发布文章,大家一定要关注哦。关注公众号后,请回复食谱二字,获取食谱。
如果你想进群,可以扫描下面的码哦

原文地址:http://www.chinalowcarb.com/benefits-of-krill-oil/关注微信公众号:『瘦龙健康』,及时获取最新低碳生酮相关的文章,公众号回复减肥,糖尿病,获取相关科普文章推荐。 

